选择提交与选择驳回场景澄清


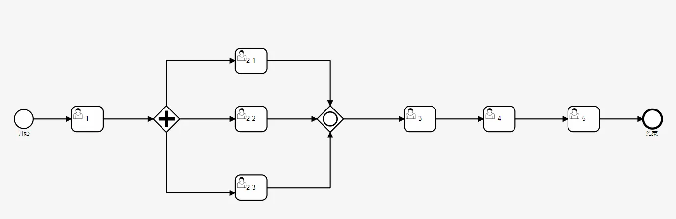
前言
每个节点都可配置可以提交的节点、可以驳回的节点,单选或多选;
每个节点根据配置,可以有四种行为:
1.默认提交
2.默认驳回
3.选择节点提交,单选或多选,从配置的可提交节点中选择
4.选择节点驳回,单选或多选,从配置的可驳回节点中选择
串签可选驳回
配置从5驳回到1、3节点,且配置为单选驳回
那么5节点有三种行为:
1.默认提交
2.默认驳回
3.选择节点1、3驳回,此时为单选
驳回到并签
配置从5驳回到2-1、2-2、2-3节点,且配置为多选驳回
那么5节点有三种行为:
1.默认提交
2.默认驳回
3.选择2-1、2-2、2-3节点驳回,此时可多选
从并签驳回
配置从2-1、2-2、2-3可驳回到1节点,且配置为单选
那么到2-1、2-2、2-3任意一节点驳回后,其他节点任务均自动关闭
串签与并签混合驳回
配置从5驳回到1、2-1、2-2、2-3、3节点,且配置为多选驳回
那么5节点有三种行为:
1.默认提交
2.默认驳回
3.选择1、2-1、2-2、2-3、3节点驳回,此时可多选
异常情况:如果用户选择1、2-1节点驳回,那么驳回后,1和2-1都会收到任务,流程继续走下去就会存在问题
结论:串签与并签混合驳回,可以选择单选驳回,但如果选择多选驳回,则会导致流程可能出现异常
串签可选提交
配置从1提交到3、4节点,且配置为多选
那么1节点有两种行为:
1.默认提交
2.选择节点3、4提交,此时可多选
异常情况:如果用户同时选择了3、4节点,那么3、4都会收到任务,此时流程走下去会存在问题
结论:串签可选提交,只能配置单选,如果配置了多选,则会导致流程可能出现异常
可选提交到并签
配置从1提交到2-1、2-2、2-3,且配置为多选
那么1节点有两种行为:
1.默认提交
2.选择节点2-1、2-2、2-3提交,此时可多选
说明:默认提交情况下,2-1、2-2、2-3全部通过才能通过;选择节点提交情况下,只要选择提交的节点全部通过后即可通过,如:选择了2-1、2-2,那么2-1、2-3全部通过后,即可到达3节点,2-3不会收到任务;
串签与并签可选提交
配置从1提交到2-1、2-2、2-3,3,且配置为多选
那么此时1节点有两种行为
1.默认提交
2.选择节点2-1、2-2、2-3,3,此时可多选
异常情况:如果用户同时选择了2-1、3节点,那么2-1、3都会收到任务,此时流程走下去会存在问题
结论:串签与并签可选提交,只能配置单选,如果配置了多选,则会导致流程可能出现异常
配置可选驳回节点后,默认可选提交
在5节点配置为:可驳回至1,且可直接提交至当前节点
这种情况下,1节点不需要配置可提交的节点
1节点如果是正常进入,只能默认提交;
1节点如果是驳回进入,那么1节点可以默认提交,也可以提交至5节点
可选驳回场景限制
并行节点,仅允许简单并行节点
简单并行节点的定义为:
1.每个并行节点只能存在一个用户任务节点;
2.不允许单个并行分支存在多个串行节点;
3.不允许单个并行分支存在嵌套并行节点;
跨节点执行的逻辑缺失
当从一个节点跳到另外一个节点时,节点中间的服务任务、跳过节点的插件无法执行
但起点的离开节点时执行的插件,与目标节点进入节点时执行的插件,都会正常执行
如果您喜欢此博客或发现它对您有用,则欢迎对此发表评论。 也欢迎您共享此博客,以便更多人可以参与。 如果博客中使用的图像侵犯了您的版权,请与作者联系以将其删除。 谢谢 !